VIII.4.2.1 It is the selection for heterozygotes that maintains a high frequency of the sickle cell anemia gene in some human populations.
The importance of selection for heterozygotes for maintaining polymorphism is not currently apparent.However, it is almost certain that at least some alleles are maintained in the population in this way.The best known example of selection for heterozygotes is selection for persons with sickle-cell anemia in areas affected by the occurrence of malaria, a disease caused by parasitic protozoa of the Plasmodium genus. Sickle-cell anemia is a hereditary disease that appears in individuals with allele s, i.e. with an allele coding an abnormal β-chain of haemoglobulin.While the normal β-chain of haemoglobulin, coded by allele S, has glutamic acid in position 6, allele s codes valine in this position.This single substitution means that the blood cells containing abnormal haemoglobulin are deformed into a sickle shape at sites with lower oxygen partial pressure, i.e. in the capillaries, so that they are used up more rapidly and removed from circulation. This effect is manifested drastically in s/s homozygotes, so that these individuals do not generally survive to reproductive age.s/S heterozygotes are also somewhat handicapped, but the reduction in their fitness compared to S/S homozygotes is not so significant.
The frequency of the occurrence of s alleles is highly positively correlated with the occurrence of malaria.It has been found that this is not a random correlation.Heterozygous s/S individuals are much more resistant against malaria than S/S homozygous individuals.The mechanism of this resistance is not exactly defined.As the protozoa develop in the red blood cells, it can be assumed that blood cells attacked by the parasite are deformed more readily than cells that are not attacked.Thus, they are more rapidly removed from circulation in the spleen, together with the parasite.Because malaria is a very serious disease that currently affects about 500 million people and that kills 1-2 million people every year, resistance against malaria provides a substantial selection advantage to heterozygotes.Thus, individuals with the s/S heterozygous genotype have the greatest fitness in areas with increased occurrence of malaria and selection for heterozygotes permanently maintains the presence of both alleles in the population.Malaria similarly maintains polymorphism in some other genes (Ruwende et al. 1995).

Fig. VIII.8. Differences in the effect of infection by the Toxoplasma parasite on the reaction times of Rh negative and Rh positive men. Uninfected Rh negative men react fastest to simple instigations. However, following infection (hatched column), their reaction times are substantially prolonged. Rh positive men react more slowly to simple instigations, but their reaction times practically do not decrease following infection. The reactions times are expressed in the graph in Z-scores (deviations from the average value) rather than in milliseconds.
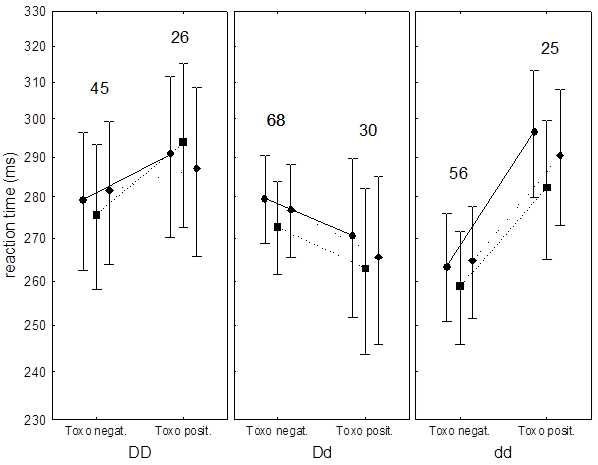
The Rh-blood group system in humans is also a typical case.Rh-positive people carry the immunodominant protein RhD with D-antigen (combination of molecular sections recognized by anti-RhD-antibodies) on their red blood cells.However, a substantial part of the European population is Rh-negative, i.e. both alleles of the relevant RHD-gene are nonfunctional or altered in Rh-negative people, so that this protein does not appear on their surfaces or the D-antigen (epitope) is missing on it.The function of the protein is not known; however, its structure suggests that it functions as a membrane transporter or rather co-transporter of ammonia or CO2 ions (Kustu & Inwood, 2006; Biver et al., 2006).With the exception of haemolytic diseases of Rh-positive babies born to Rh-negative mothers, until 2008, no effect of Rh-positivity or negativity on the health or any other properties of human beings has been described. The results of three independent studies performed on blood donors, soldiers undergoing compulsory military service and university students indicated, however, that there are very substantial differences between Rh-positive and Rh-negative persons in the rate of reaction to simple stimuli and especially that their reaction rate changes following infection by the parasite Toxoplasma gondii (Novotná et al. 2008, Flegr et al. 2008).It was found that, amongst uninfected men, Rh-negative individuals react much faster than Rh-positive individuals.However, the ability to react rapidly to a stimulus decreases in Rh-positive men only minimally following infection by T. gondii, while this decrease is very substantial in Rh-negative men and their reaction times are finally much worse than those of Rh-positive men (Fig. VIII.8).Approximately 30% of the people in Europe are infected by T. gondii.A study performed on blood donors showed that, amongst infected persons, the performance of Rh-positive heterozygotes Rh +/– is best, that of Rh-negative Rh -/- homozygotes is worst (and worsens almost immediately after infection) and the performance of Rh-positive homozygotes Rh +/+ is only slightly better than that of Rh-negative homozygotes (but worsens more slowly).Thus, it is highly probable that the current occurrence of both alleles of the RHD-gene in the population is maintained in the long term by selection for heterozygotes.Selection for heterozygotes apparently played a great role particularly in the past when an individual’s reaction time could play an important role in the survival and reproduction success of an individual.Selection pressure for Rh-positive heterozygotes, however, apparently still plays a certain role in modern society.When 3900 military drivers were examined for toxoplasmosis and Rh phenotype on entering 1.5-year compulsory military service and the records of the military police were subsequently examined, it was found that Rh-negative persons infected by toxoplasmosis had more than twice the probability of being involved in a traffic accident than uninfected persons or Rh-positive persons.Amongst Rh-negative persons recently infected by toxoplasmosis (i.e. persons with high anti-toxoplasmosis antibody titres) the probability of an accident was as much as 5x higher than amongst other persons.
The high proportion of Rh-negative persons in the European population could be connected with the fact that, until recently, big cats (the definitive host of Toxoplasma gondii) were practically not present here and thus toxoplasmosis was rare (and Rh-negative persons were at an advantage compared to the rest of the population).The low percentage of Rh-negative persons in Africa (less than 1%) could be related to the high prevalence of toxoplasmosis there, which often approaches 100%.
